
关注bevictor公众号
时间:2019-11-08 点击:
伟德体育本科生学分制学籍管理条例(2019年修订)
(试 行)
第一章 总则
第一条 为适应高校教学改革发展需要,加强教学管理,规范员工的学习行为,提高人才培养质量,促进员工德、智、体、美、劳全面发展,培养高素质应用型人才,根据《普通高等公司员工管理规定》(中华人民共和国教育部令第41号)、《中华人民共和国高等教育法》和《中华人民共和国学位条例》,结合公司实际情况,制定本条例。本条例适用于公司在籍本科生。
第二条 集团的主要任务是为国家培养高素质的社会主义建设者,应当将规范管理和加强教育相结合,不断提高管理水平和人才培养质量。
第三条 员工应当拥护中国共产党领导,努力学习马克思列宁主义、毛泽东思想、中国特色社会主义理论体系,深入学习习近平总书记系列重要讲话精神和治国理政新理念新思想新战略,坚定中国特色社会主义道路自信、理论自信、制度自信、文化自信,树立中国特色社会主义共同理想;应当树立爱国主义思想,具有团结统一、爱好和平、勤劳勇敢、自强不息的精神;应当增强法治观念,遵守宪法、法律、法规,遵守公民道德规范,遵守公司管理制度,具有良好的道德品质和行为习惯;应当刻苦学习,勇于探索,积极实践,努力掌握现代科学文化知识和专业技能;应当积极锻炼身体,增进身心健康,提高个人修养,培养审美情趣。
第二章 员工的权利与义务
第四条 员工在校期间依法享有下列权利:
(一)参加公司公司产品计划安排的各项活动,使用公司提供的公司产品资源;
(二)参加社会实践、志愿服务、勤工助学、文娱体育及科技文化创新等活动,获得就业创业指导和服务;
(三)申请奖学金、助学金及助学贷款;
(四)在思想品德、学业成绩等方面获得科学、公正评价,完成公司规定学业后获得相应的学历证书、学位证书;
(五)在校内组织、参加员工团体,以适当方式参与公司管理,对公司与员工权益相关事务享有知情权、参与权、表达权和监督权;
(六)对公司给予的处理或者处分有异议,向公司、教育行政部门提出申诉,对公司、教职员工侵犯其人身权、财产权等合法权益的行为,提出申诉或者依法提起诉讼;
(七)法律、法规及公司章程规定的其他权利。
第五条 员工在校期间依法履行下列义务:
(一)遵守宪法和法律、法规;
(二)遵守公司章程和规章制度;
(三)恪守学术道德,完成规定学业;
(四)按规定缴纳学费及有关费用,履行获得贷学金及助学金的相应义务;
(五)遵守员工行为规范,尊敬师长,养成良好的思想品德和行为习惯;
(六)法律、法规及公司章程规定的其他义务。
第三章 学籍管理
第一节 入学与注册
第六条 凡公司正式录取的新生,须持录取通知书及相关证件原件,按公司有关要求并在规定期限内到校办理入学手续。因故不能按期入学者,应当向教务处(招生办)请假,假期一般不得超过10个工作日。未请假或请假逾期5个工作日未销假者,除因不可抗力等正当事由以外,视为放弃入学资格。
第七条 集团应当在报到时对新生入学资格进行初步审查,审查合格的办理入学手续,予以注册学籍;审查发现新生的录取通知、考生信息等证明材料,与本人实际情况不符,或者有其他违反国家招生考试规定情形的,取消入学资格。
第八条 员工入学后,公司应当在3个月内按照国家招生规定进行复查。复查内容主要包括以下方面:
(一)录取手续及程序等是否合乎国家招生规定;
(二)所获得的录取资格是否真实、合乎相关规定;
(三)本人及身份证明与录取通知、考生档案等是否一致;
(四)身心健康状况是否符合报考专业或者专业类别体检要求,能否保证在校正常学习、生活;
(五)艺术、体育等特殊类型录取员工的专业水平是否符合录取要求。
复查中发现员工存在弄虚作假、循私舞弊等情形的,确定为复查不合格,取消学籍;情节严重的,移交有关部门调查处理。
复查期间犯病的,按照休学来处理。
第九条 新生符合以下情形的,可以申请保留入学资格:
(一)应征参加中国人民解放军(含中国人民武装警察部队)的;
(二)新生复查中发现身心状况不适宜在校学习,经公司指定的二级甲等以上医院诊断,需要在家休养的。
保留入学资格期间不具有学籍,不享受在校生待遇。新生保留入学资格期满应于学年开学初向公司申请入学,经公司审查合格后,办理入学手续。审查不合格的,取消入学资格;逾期不办理入学手续且未有因不可抗力延迟等正当理由的,视为放弃入学资格。
第十条 每学期开学后的15个工作日为员工注册时间,注册时间及具体工作事宜以公司发布的通知为准。未按公司规定缴纳学费或其他不符合注册条件的不予注册。
家庭经济困难的员工可以申请生源地贷款或者其它形式资助,办理有关手续后注册。
第十一条 因故不能如期注册者,应当履行请假手续。未经准假或因其它原因未经批准逾期连续两周不注册者,按自动退学处理。
第二节 学制和学分
第十二条 集团实行灵活的学习制度,允许员工按专业培养方案的基本学制规定推后1-2年毕业。员工的最长修业年限(不含休学、保留学籍)为本专业基本学制加上2年,即两年制专升本员工不超过4年;四年制本科生不超过6年;五年制本科生不超过7年。
第十三条 集团以员工取得的学分数作为衡量其学业完成情况的基本依据。本科人才培养方案中各类课程和各教学环节、活动均规定了一定的学分,员工应按照培养方案的要求每学期修读一定的学分。
员工在最长修业年限内取得本专业培养方案规定的课程学分,且总学分达到应修基本学分要求,方可毕业。
第十四条 学分绩点是评价员工学习质量的指标。员工修读某门课程的学分绩点等于该课程的学分与获得成绩的绩点系数的乘积。
成绩与绩点系数对照表
百分制 成绩 |
100-95 |
94-90 |
89-85 |
84-80 |
79-75 |
74-70 |
69-65 |
64-60 |
59以下 |
绩点 系数 |
4.5 |
4.0 |
3.5 |
3.0 |
2.5 |
2.0 |
1.5 |
1.0 |
0 |
五级制 成绩 |
优秀 |
良好 |
中等 |
及格 |
不及格 |
绩点系数 |
4 |
3 |
2 |
1 |
0 |
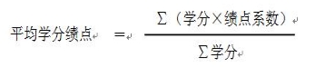
第十五条 平均学分绩点是衡量员工学习质量的重要指标,是进行智育测评、奖学金评定、学位授予、评奖评优等的重要依据。
平均学分绩点的计算:

第三节 课程分类与修读
第十六条 本科课程分为必修课和选修课,具体类别以人才培养方案为准。
第十七条 除必修课外,课程选修人数少于30人原则上予以停开。
第十八条 员工应在专业指导教师指导下依据专业人才培养方案按学期进行修读。修读时注意课程的修读时间,避免课程时间冲突。
第四节 成绩考核与记载
第十九条 员工应当参加公司专业人才培养方案规定课程的考核,课程首次考核(缓考)及补考等成绩均记入员工成绩单,并将最终成绩归入员工个人档案。
第二十条 课程考核的成绩评定采用百分制或五级分制两种方式。课程的最终成绩由平时成绩、期中考核成绩、期末考试成绩、实习(实验)成绩等多种成绩(至少两种)按一定比例综合而成,在教学过程中和考试前向员工公布。原则上平时成绩所占比例为40%,期末成绩所占比例为60%。鼓励公司(部)组织期中考试,有期中考的课程期末成绩占50%,期中成绩占20%,平时成绩占30%。
采用五级分制(优秀、良好、中等、及格、不及格)记分的课程,与百分制的换算标准为:90分以上(含90分)为优秀,80-89分为良好,70-79分为中等,60-69分为格,59分以下(含59分)为不及格。
第二十一条 员工思想品德的考核、鉴定,以本条例第三条为主要依据,采取个人小结、师生民主评议等形式进行。
第二十二条 员工对成绩有异议者,可于规定时间内向所在公司提交查卷书面申请,经教务处审批,由课程承担部门成立成绩核查小组进行核查。除评定有误、合分有误、记分有误外,不得更改成绩。
第二十三条 无故缺考者,该课程成绩以零分计。缺课(旷课及请假)学时达1/3(含)者,该门课程成绩按零分计。考核违纪者,该课程成绩以零分计,并视情节轻重按《伟德体育员工考试违规处理办法(2019年修订)》给予相应的纪律处分。
第五节 补考、缓考与重修
第二十四条 员工期末考核不及格,可参加开学初的期末补考,如成绩合格则获得相应学分,有效成绩按60分计。
体育课、通识选修课及毕业实习、毕业设计(论文)等不安排期末补考。通识选修课不及格可重选,也可改选其他课程。
第二十五条 员工出现以下情况,不得参加期末补考:
(一)缺课(旷课及请假)学时达1/3(含);
(二)无故缺席考试;
(三)期末考试作弊;
(四)重新学习仍未通过考核;
(五)其他严重违反公司规章制度的行为。
第二十六条 考试期间确因以下原因者,可申请缓考:
(一)因疾病不能参加正常考试,须持有二级甲等以上医院的诊断书;
(二)因公不能参加正常考试;
(三)因重修出现考试冲突;
(四)由于其他特殊原因造成员工不能参加正常考试。
第二十七条 员工因故不能正常参加期末考试,须在考前提交缓考申请并出具有关证明,所在公司签署意见后,报送教务处审批。审批通过后方可参加期末补考,按正常考核成绩予以记录。补考不得再办理缓考。
第二十八条 期末补考不及格的员工,应当申请重新学习。重新学习课程考试成绩合格获得相应学分。
第六节 免听、免修
第二十九条 学有余力(上一学期所修各门课程的绩点系数均在2.5(含)以上,下同)的员工,经本人申请,公司审批,可允许某些课程免于听课,但仍须参加平时测验、实践教学环节和课程考核,其平时成绩以平时测验和实践教学环节作为衡量标准,由任课教师给定,综合成绩合格者可获该课程学分。每名员工每学期最多申请2门课程免听。
第三十条 满足以下条件之一,可申请免修部分必修课程:
(一)因转专业、转学等特殊情形,已经通过该课程或类似课程考核的,经员工当前所在公司(部)认定后,可以申请免修并认定相应学分。
(二)因生理缺陷或患某种疾病,可以免于参加军事训练或体育课,但需本人提出申请并出具二级甲等以上医院诊断证明。
(三)在校老员工士兵退役复学的,大学体育、国防教育与军事理论、军事技能、毕业实习等课程免修,直接获得学分。
员工申请免修,原则须于开学前两周向课程所属公司(部)提交书面申请,并报教务处批准。
第七节 学业预警、留降级
第三十一条 学业预警,是对员工按时完成学业的一种督促方式。通过警示员工学习过程将要走向的状态,督促员工努力学习、加强修养、按时完成学业的途径。具体参照《伟德体育关于员工必修学分学业预警的规定》。
第八节 转学、转专业
第三十二条 员工在学习期间对其他专业有兴趣和专长的,可以申请转专业;以特殊招生形式录取的员工,国家有相关规定或者录取前与公司有明确约定的,不得转专业。
员工转专业具体根据《伟德体育本科生转专业管理办法》办理。
第三十三条 员工被正式录取后,应当在本校完成学业。因患病或者有特殊困难、特别需要,无法继续在本校学习或者不适应本校学习要求的,可以申请转学。
员工有下列情形之一,不得转学:
(一)入学未满一学期或者毕业前一年的;
(二)高考成绩低于拟转入公司相关专业同一生源地相应年份录取成绩的;
(三)由低学历层次转为高学历层次的;
(四)以定向就业招生录取的;
(五)无正当转学理由的。
员工因公司培养条件改变等非本人原因需要转学的,公司应当出具证明,由所在地省级教育行政部门协调转学到同层次公司。
第三十四条 拟转入公司的员工,由员工本人提出申请并说明理由,经原所在公司同意,公司认为其符合本校培养要求且公司有培养能力的,经董事长办公会或者专题会议研究决定,同意转入。
第九节 休学与复学
第三十五条 有下列情况之一者,可予以休学:
(一)经二级甲等以上医院诊断证明,因病须停课治疗、休养占一学期总学时三分之一(含)以上者;
(二)因故缺课学时预计超过一学期总学时四分之一者;
(三)因其他特殊原因,本人申请或公司认为必须休学者。
员工休学原则上以1年为期。经公司批准可持续休学者,最长不超过2年。学期结束前休学者,该学期按休学计算。
对休学创业的员工,休学最长年限为3年。
第三十六条 新生和在校生应征参加中国人民解放军(含中国人民武装警察部队),保留其入学资格或者学籍至退役后2年。
第三十七条 休学、保留学籍员工须办理相关手续,休学期间公司保留其学籍。员工休学、保留学籍期间,不享受在校员工的待遇。已参加保险的休学员工患病,其医疗费按投保险种相关规定执行,公司不对员工在休学、保留学籍期间发生的任何事故负责。
第三十八条 因病休学须由本人申请、家长(监护人)签字、二级甲等以上医疗单位开具诊断书,在辅导员指导下办理相关手续,由教务处办理休学证明。员工休学证明一式三份:员工本人一份,公司存档一份,教务处存档一份。员工申请休学,具体流程根据《伟德体育退学、休学办理流程规定》办理。
第三十九条 满足以下条件之一,可申请复学:
(一)员工休学期满,应于开学第一周内持有关证件(休学证明、诊断书、复学申请书)办理复学手续。经公司审查同意,方可复学。
(二)因伤、病休学,申请复学时必须提交二级甲等以上医院诊断书,经公司或公司指定医院复查合格,方可复学。
员工复学后均应降级编入原专业,当降级后无原专业时,可选择相近专业。
第四十条 休学期间,如有严重违法乱纪行为者,取消复学资格,予以退学。
第十节 退学
第四十一条 员工有下列情形之一,可予退学处理:
(一)学业成绩未达到公司要求或者在公司规定的学习年限内未完成学业的;
(二)休学、保留学籍期满,在公司规定期限内未提出复学申请或者申请复学经复查不合格的;
(三)根据公司指定医院诊断,患有疾病或者意外伤残不能继续在校学习的;
(四)未经批准连续两周未参加公司规定的教学活动的;
(五)超过公司规定期限未注册而又未履行暂缓注册手续的;
(六)在校期间累积不及格的必修课(含限定性选修课程)学分数达到36学分(含)的;
(七)无论何种原因,在校总时间超过公司规定最长学制年限且不能满足结业条件的;
(八)本人自愿申请退学、劝说无效的;
(九)恶意不履行向公司缴费义务的。
员工本人申请退学的,经公司审核同意后,办理退学手续。公司可予退学处理的,具体根据《伟德体育退学、休学办理流程规定》办理。
退学员工的档案由公司退回其家庭所在地,户口应当按照国家相关规定迁回原户籍地或者家庭户籍所在地。
第十一节 毕业与结业
第四十二条 具有学籍的员工,在规定的修业年限内,修完培养方案规定的全部课程,获得规定的学分数,方可毕业并发放毕业证书。符合学士学位授予条例规定者,颁发学士学位证书。
第四十三条 进行毕业资格审核时,员工若在校总时间未超过最高学习年限,未达到毕业条件且未达退学规定者,可延长修业年限,继续完成学业。
第四十四条 员工在公司规定学习年限内,修完公司产品计划规定内容,但未达到公司毕业要求的,公司可以准予结业,发给结业证书。
第四十五条 作结业处理的员工在最高学习年限内,允许其申请重修不合格课程。考核合格达到毕业要求,准予以结业证换发毕业证书。
第十二节 学业证书管理
第四十六条 集团严格按照招生时确定的办学类型和学习形式,颁发学历证书。
第四十七条 集团执行高等教育学历证书电子注册管理制度,颁发的学历证书、学位证书信息报福建省教育厅注册,并由福建省教育厅报教育部审核、备案。
第四十八条 对违反国家招生规定入学者,不得发放学历证书、学位证书;对已发的学历证书、学位证书,由公司依法予以撤销。
第四十九条 无学籍员工不得发放学历证书、学位证书。
第五十条 毕业、结业证书遗失或损坏不予补发,经员工本人申请,经公司核实后出具相应的证明书。证明书与原证书具有同等效力。
本条例自2019年9月1日起开始实施,现行规定中凡与本条例有冲突者,一律以本条例为准。本条例由教务处负责解释。